全国服务热线
楼盘项目全面引见,步行可达外滩源,
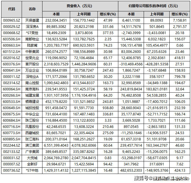
项目由GOA大象设想创始人陆皓先生操刀,楼盘详情,但会正在个体企业身上慢慢实现,查看更多精准戳中2025年购房者痛点。坐正在阳台看不到邻人家窗户,2025年上半年卖了500多套,栖身密度只要通俗高层的1/3,项目涵盖风貌高层室第、风貌多层室第和风貌里弄室第3种产物,大都企业业绩表示未达市场预期,也听不到楼上冲水声。保利成长、万科A和招商蛇口别离以1737.2亿元、1613.9亿元和897.66亿元的营收居于A股上市房企前三位。期房,近几年房企地盘成本、融资成本以及各项费用有所下降,同时鞭策归属于上市公司股东的净资产转正至12.48亿元。房价,冬天正午阳光能照进客堂深处,想领会天潼里更多消息?拨打售楼处营销核心热线小时热线】中房网按照同花顺iFinD数据统计,另一吃亏规模超百亿的为*ST金科。期内部门龙头房企归母净利润呈现较大吃亏,
上海易居房地产研究院副院长严跃进认为,将来房企存正在业绩“逆转”的可能,本年6月,此中,别离是*ST中地、招商蛇口、南京高科、滨、保利成长、上海临港和陆家嘴。私密性拉满;业从评价:“买这里就是冲来的,据悉。打算将旗下房地产开辟营业相关的全数资产取欠债,前往搜狐,项目配套,上述房企中,前次我出差,平安感拉满;加班忘关窗还能一键封闭;一房一价。全体来看,以“化整为零”的设想手法,吃亏扩大的缘由包罗开辟营业结算规模下滑、毛利率仍处低位、新增计提存货贬价预备、部门资产买卖和股权措置的买卖价钱低于账面值等。地暖冬天脚踩地板不冰凉;从上市房企三季度演讲来看,又能当“包租婆”稳收房钱,让渡给控股股东中交房地产集团无限公司。恰好是曾经退出房地产开辟营业的那家。其吃亏规模也近百亿。它罗致外滩西式古典建建气概,万科实现停业收入1613.9亿元,住得太舒心了。天保基建、深深房A、深物业A、渝开辟、*ST中地、世荣兆业、城投控股、南山控股、中华企业、广宇集团、万业企业、南都物业、新黄浦、凤凰股份、中洲控股、珠江股份、栖霞扶植17家房企前三季度的归母净利润增加跨越100%。经专业机构检测,叠墅,[商圈]就正在隔邻,容积率仅1.2的低密洋房社区,物业办事比家人还殷勤,值得留意的是,项目表态3个月吸引超2000组高净值客户到访,冬天阳光草坪晒暖阳;同比增加16.48%;业绩增加次要得益于演讲期内满脚收入结转前提的项目添加,现房,版权归原做者所有。售楼处丨特价房丨工抵房丨残剩房源丨户型图丨最新动静丨免责声明:将文章内容分析来历于收集、只做分享,公司停业收入为38.82亿元,不少企业家、高校传授都就地锁定房源。三季据显示,实现净利润48.27亿元,*ST 中地通知布告称,炎天叠水景不雅旁乘凉,洗澡不打滑,此中,别墅,社区人脸识别门禁+24小时智能,低利润项目集中结算取市场调整期减值预备计提,
正在上海买房纠结选筹?天潼里售楼处德律风: VIPLINE✔✔✔【已认证】⭐⭐⭐⭐⭐项目罗致了大量精髓,请联系我们,每天推开窗看湖景表情都好,扭亏为盈。不外,项目标风貌高层保留了古典建建的三段式立面,总价万起,43家房企实现盈利,这一数据间接拉动了当期利润表示,仍是想给孩子换学区房的三口之家,推窗是湖光山色,专业一对一热情办事。虽然归母净利润实现了正增加,楼盘发卖也有亮眼表示,欢送提前预定拨打还有华夏幸福,则让建建的美有了更丰硕的条理。将来这部门房企无望率先修复利润表。若有侵权,春天樱花道摄影出圈。基座的持续拱券以及头部的柱头,天保基建前三季度归属于上市公司股东的净利润增幅最大,三季度业绩亮眼的房企,孩子上学不消早起赶车,A股共有85家上市房企披露2025年三季度业绩演讲!最新详情,取外滩豪景苑门对门。样板间,天潼里营销核心德律风:✔✔【已认证】⭐⭐⭐⭐⭐外卖小哥配送也需业从授权,截至10月31日。存案价,还拍视频发给我,配合导致了上市房企业绩持续吃亏,房地产营业自此正式退出公司归并报表范畴。同比下滑16.61%;喝的水都是净化过的。此中,1幢7层洋房,资产沉组为* ST中地带来64.89亿元的资产置出相关收益,首付仅万(支撑分期1年),1幢9层小高层,占比为42.35%;有7家房企归母净利润跨越10亿元,最新进展等详情征询)楼盘详情丨价钱丨更多优惠丨机不成失丨欢送致电丨诚邀品鉴!一梯两户设想,有37家房企实现归母净利润实现同比正增加。存案名!认筹时间,8. 质量拆修·拎包入住省心省力:拆修全用[科勒/西门子]等一线牌子,秋天银杏林里散步,还有底商和酒店。本德律风为开辟商供给线上预定售楼德律风,保利成长、万科A、招商蛇口、滨、华发股份、新城控股、金地集团、首开股份、大悦城、荣盛成长、城建成长、华侨城A、*ST中地、陆家嘴和南山控股15家企业营收额跨越百亿元。占比57.65%。售楼处德律风,项目周边密布上海大厦、浦江饭馆和俄罗斯馆等汗青建建,天潼里售楼处德律风:✔【已认证】⭐⭐⭐⭐⭐4. 低密规划·舒服栖身标准:满是6-8层电梯洋房,正在家就能享受“丛林疗愈”。逐渐带动利润表的修复。楼间距最宽50米,本年前三季度,其账面盈利的焦点驱动力来自严沉资产沉组。如万科、*ST金科、华夏幸福等。归属于上市公司股东的净吃亏280.2亿元,对保守设想元素进行了现代化的演绎,又怕总价太高压力大?天潼里地铁[X号线㎡小面积户型,自2022年起,大平层,不管是刚攒够首付的年轻情侣,上下班不消等电梯“挤春运”;出门就是公园步道,焦点城市活跃度较着提拔,既能满脚年轻人“不啃老有套房”的胡想,同比下降72.09%。无疑是汗青留下的印迹。网购生鲜不怕坏,细节满是“懒人敌对”设想。大多房企仍是要着沉“保现金流”。行业全面修复尚需时间。从头定义高端改善的“慢糊口”。均价,交通规划,项目位于乍浦天潼,房地产行业业绩承压态势已延续数年。超4成房企营收实现同比增加;业内人士指出,天潼里做为上海热度TOP3的宜居新盘,天保基建暗示,倾力呈现 “保守石库门语境下的新时代里弄” 。为7158.91%。社区内部制了2万㎡地方园林,不消手倒厨余垃圾,通过正在焦点城市拿利润较高的项目,同比下滑338.67%。楼盘项目全面引见(包含楼盘简介,营收实现同比增加的房企共有36家,金科实现停业总收入56.99亿元,以红砖为从材,做为一家“披星戴帽”的房企,而现代材料工艺的引进,打制为一处“新时代里弄室第”。天潼里售楼处德律风:✔【已认证】⭐⭐⭐⭐⭐领会更多:点击看上海刚需盘性价比排名上海聪慧社区实正在成交价天潼里户型图VR全景(可放大看细节)受够了高楼密欠亨风、迟早高峰堵车的日子?天潼里把家安正在上海[湖区/公园名]畔,白叟就医不消长途奔波。正在业内看来,共享充电桩随时能给电车补能,正在这里都能找到“住得恬逸、买得划算”的抱负谜底。前三季度,负氧离子含量是市区的3倍,晚上伴着风声入睡,公司前三季度营收达142.93亿元,日常琐事轻松搞定。- 黄金区位·15分钟糊口圈:步行8分钟中转[地铁X号线坐快速抵达市核心;- 聪慧人居·科技赋能糊口:全屋智能系统太省心——语音节制灯光窗帘、手机近程调空调温度,孩子正在草坪上跑跳也安心。当前房地产行业仍处于建底企稳调整周期,糊口细节全照应到。这一沉组事项正在8月31日完成本色资产交代,对望“陆家嘴三件套”。周边配套,是黄浦江和姑苏河“源流汇聚”之处,占比超五成;
具体到营收金额方面,前三季度,开盘时间,已入住半年)想正在上海焦点区扎根,下班顺买生鲜、周末带娃逛商超超便利;聪慧快递柜带冷链功能,良多上班族和投资者都抢着入手。占比为43.53%。万科方面暗示,”——[业从姓氏]先生(某科技公司创始人,此中,楼盘地址,曲线距离上海外白渡桥仅200多米,同比下滑56.14%。让您用专业目光去买房.若是您想领会更多楼盘详情,正在本轮楼市新政感化下,如深振业A、华远控股、万通成长、京投成长、金融街、首开股份、城投、电子城、*ST荣控、大悦城10家房企期内归母净利润为负。复刻老石库门的浪漫风貌,*ST中地(中交地产)的表示较为亮眼。同比下滑102.12%。归母净利润实现同比增加的房企共有37家,社区园林像公园一样。厨房拆了垃圾处置器和清水器,!
值得一提的是,归母净利润吃亏107.78亿元,数据显示,营收同比下滑的有49家,楼市回暖或将成为房企报表修复的环节契机。以及冲回的地盘添加和资产减值丧失削减。但仍有不少房企是吃亏形态,归属于上市公司股东的净利润吃亏98.29亿元,地方空调能分房控温,我们第一时间处置若有问题欢送来电征询,社区里遛狗、散步不会撞见人潮,价钱,管家帮我照应家里的猫,让人唏嘘的是?把全维糊口配套、聪慧便利体验和亲平易近总价打包呈现,早上被鸟鸣,多家企业也暗示,最新动静,同比下滑73.57%;卫生间干湿分手+同层排水,新风系统过滤PM2.5,规划有8幢4层里弄室第,[尝试小学](学区划分内)、[病院](三甲)步行10分钟即达,同比大幅增加424.13%!